IMOS - Trading & Risk - Option Valuation Formulas
This reference article contains the option formulas for our Black (1976) and Turnbull Wakeman option models.
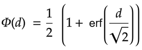
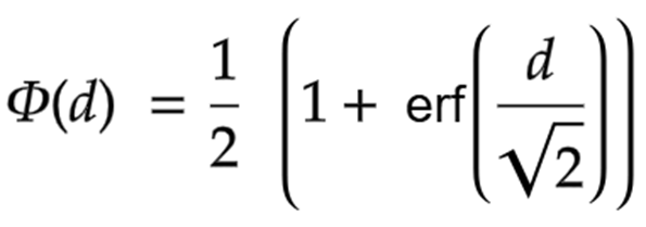
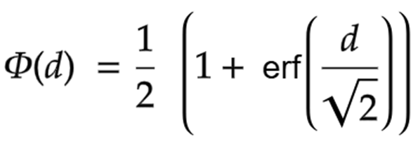
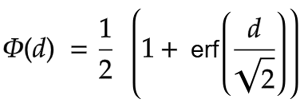
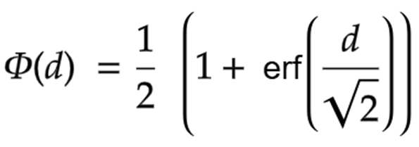
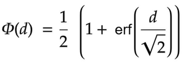
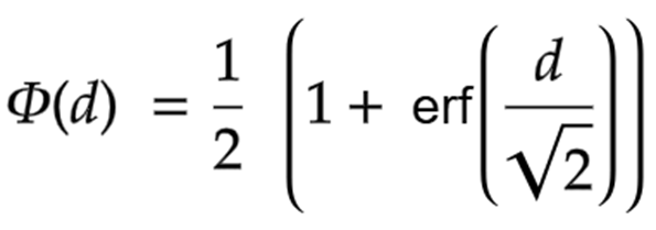
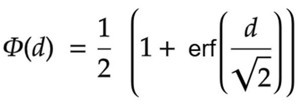
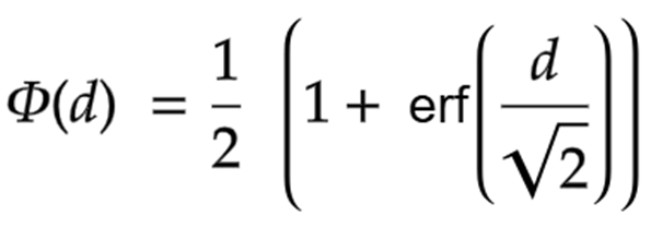
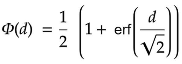
black_formula_phi

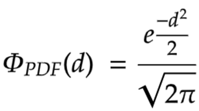
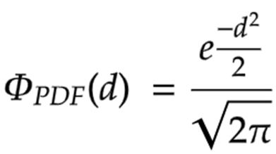
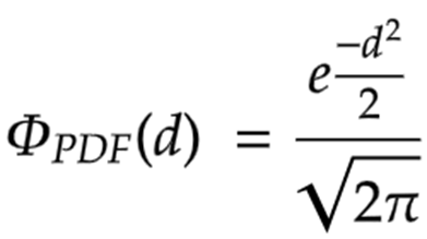
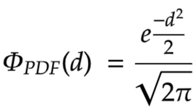
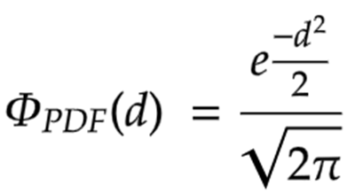
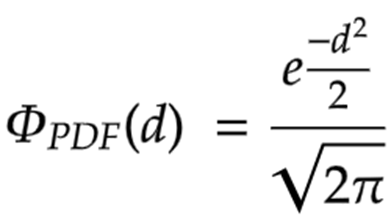
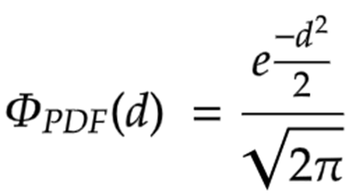
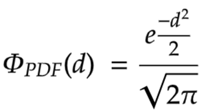
black_formula_phi_PDF

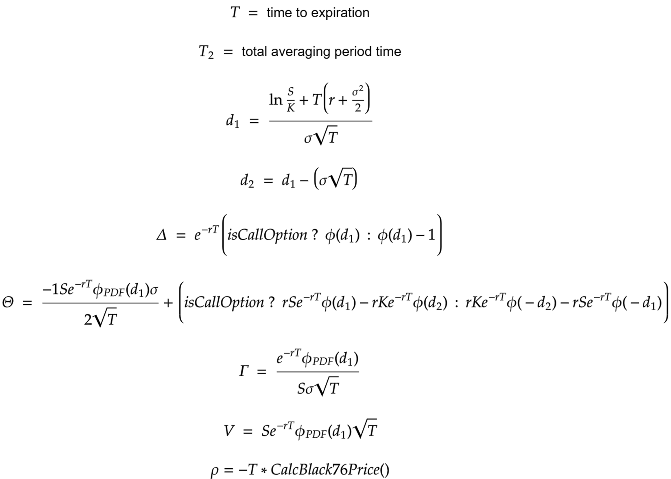
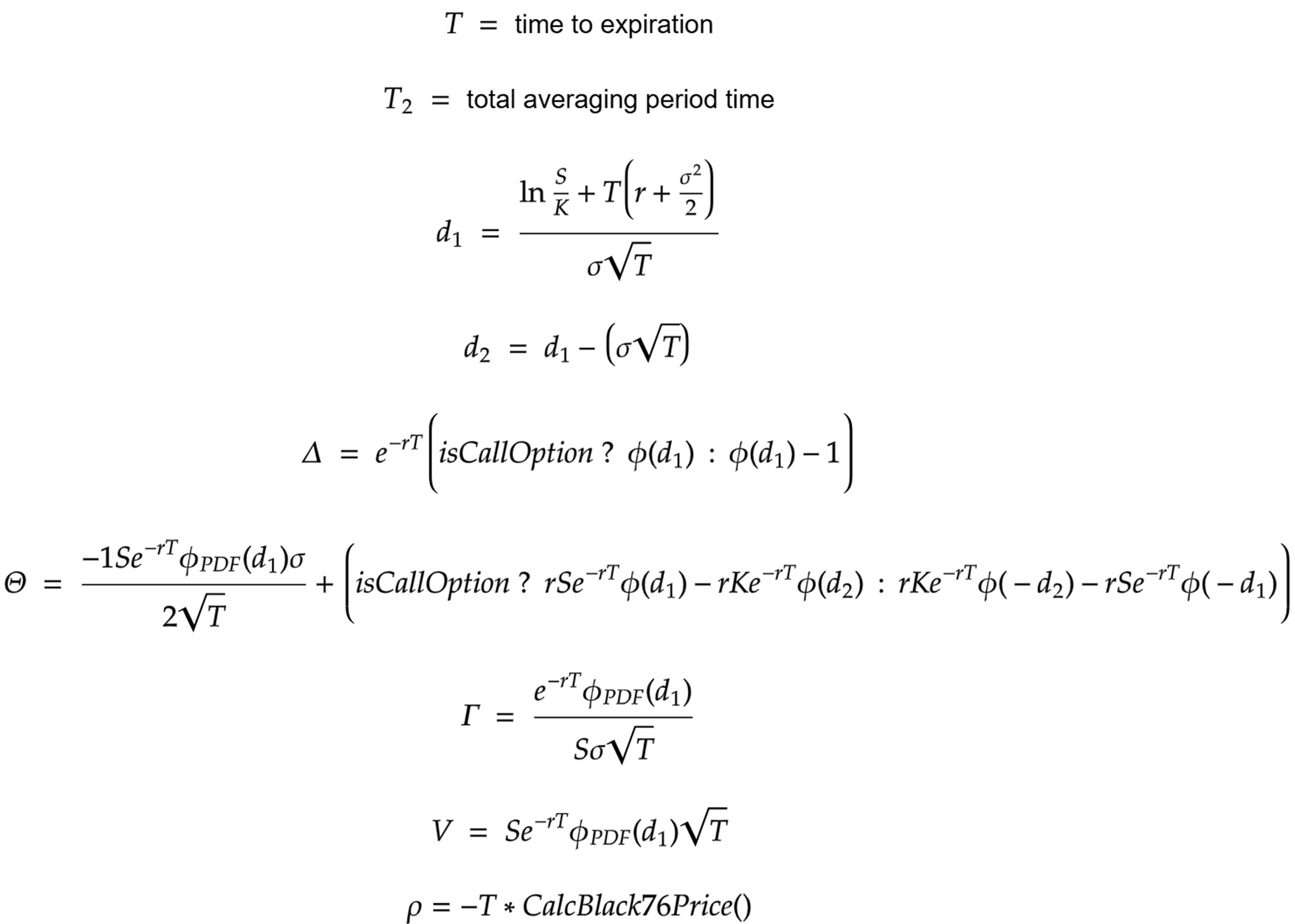
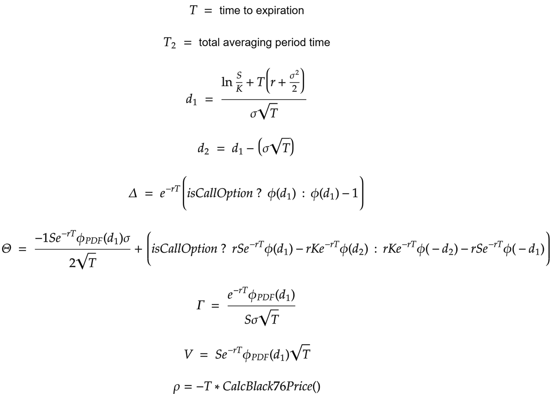
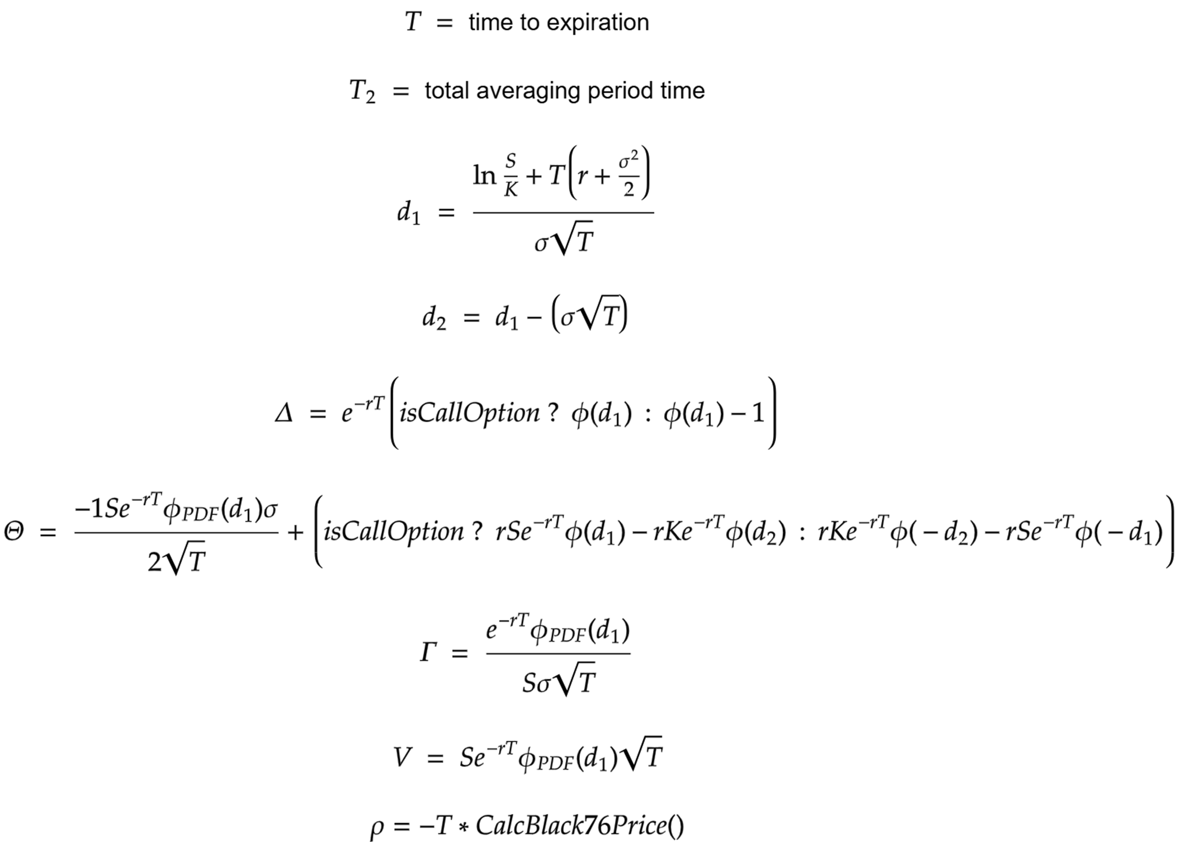
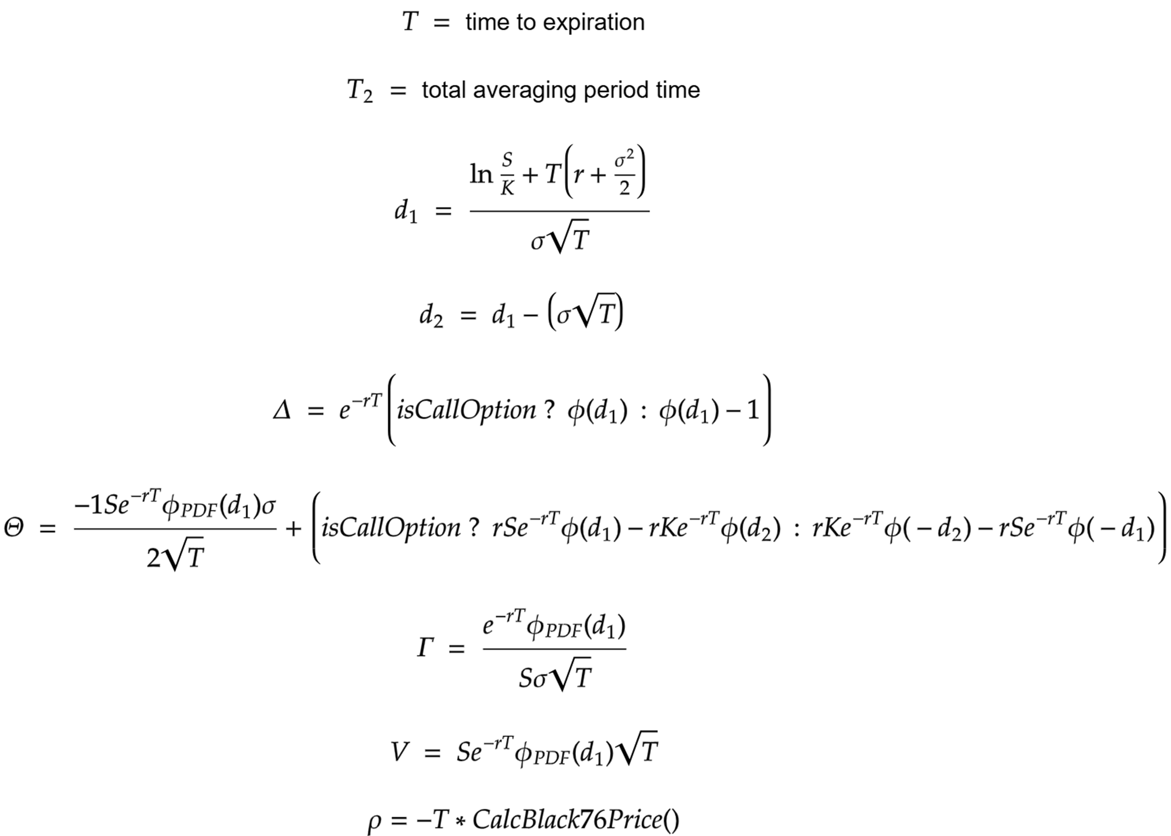
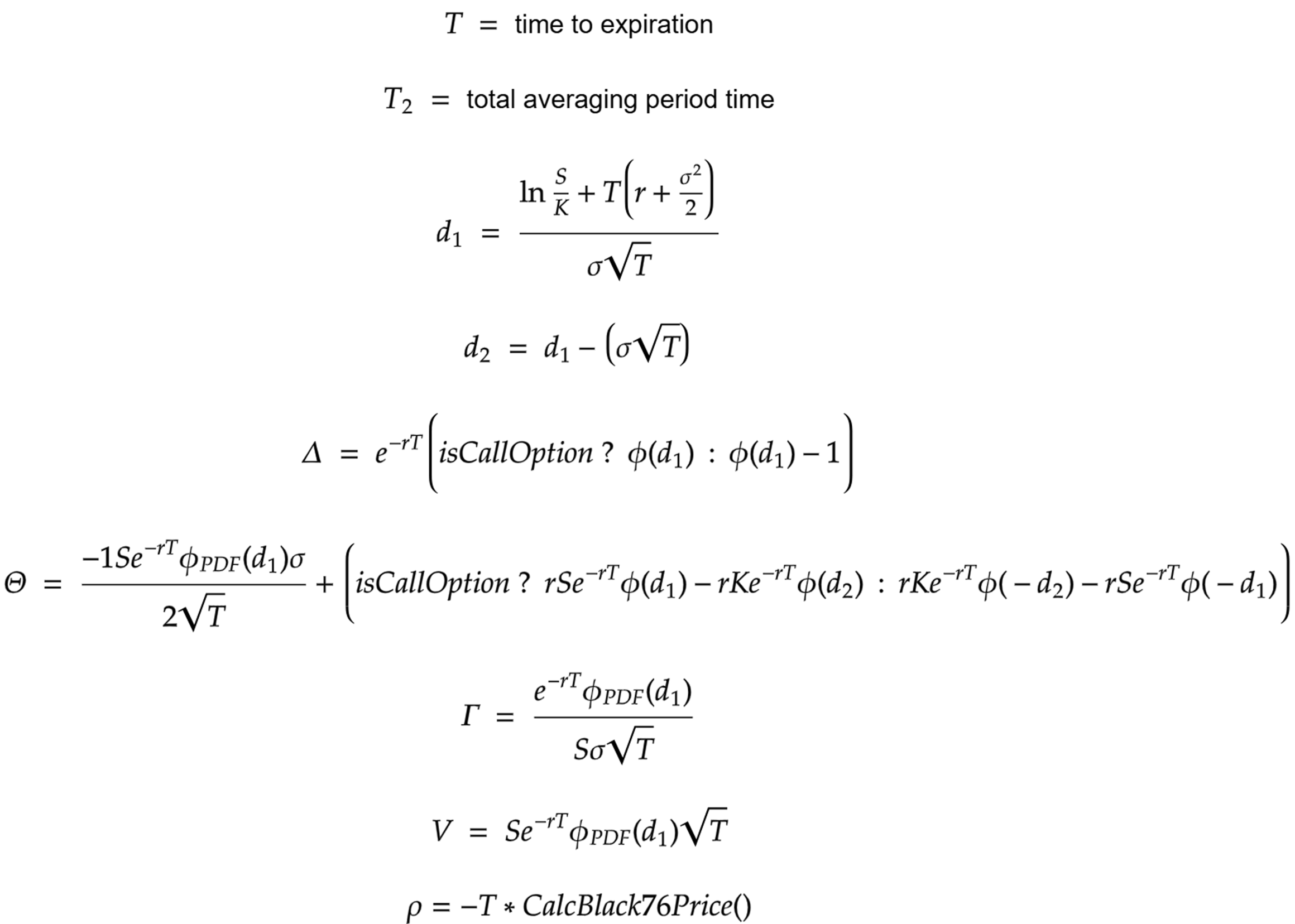
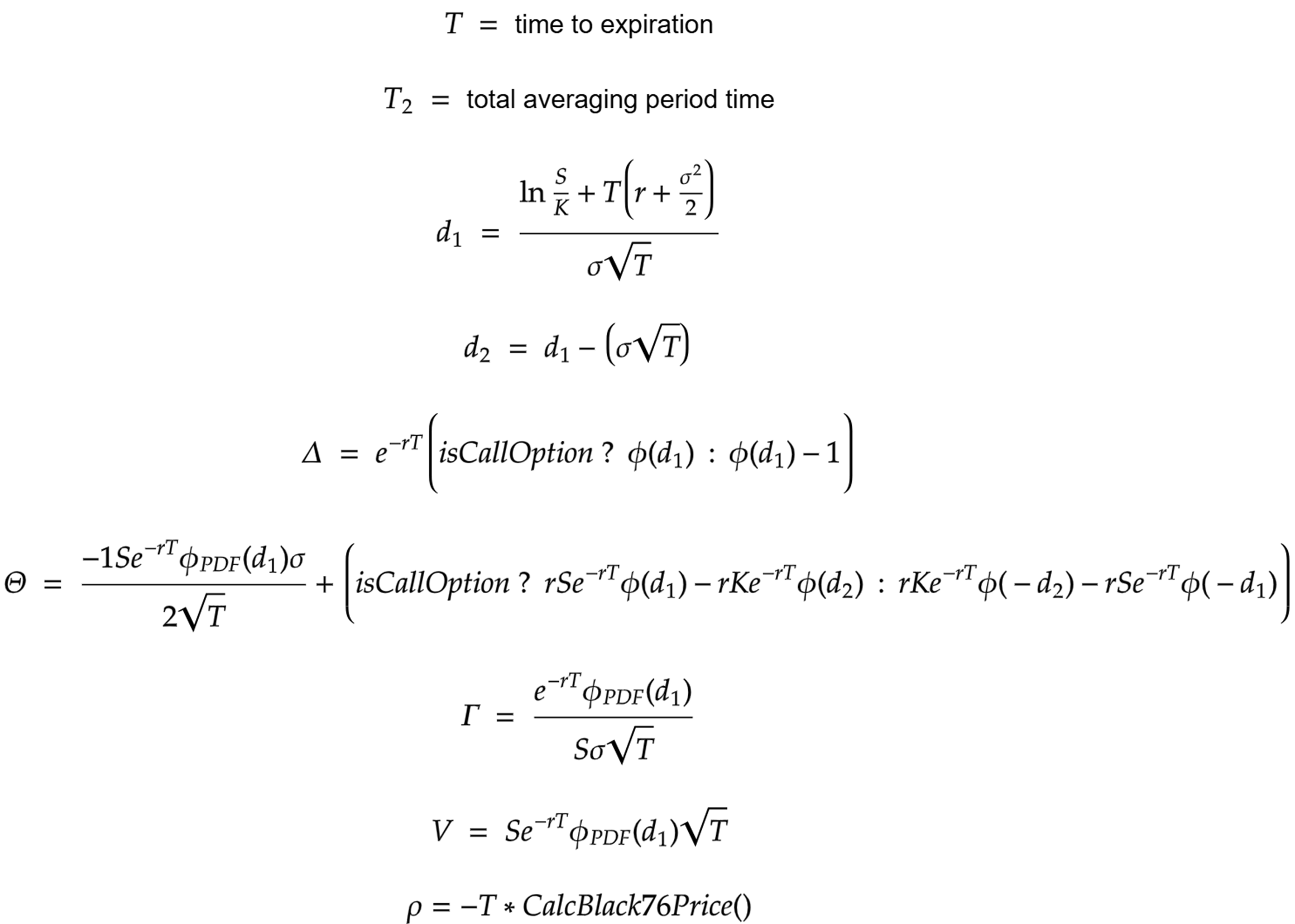
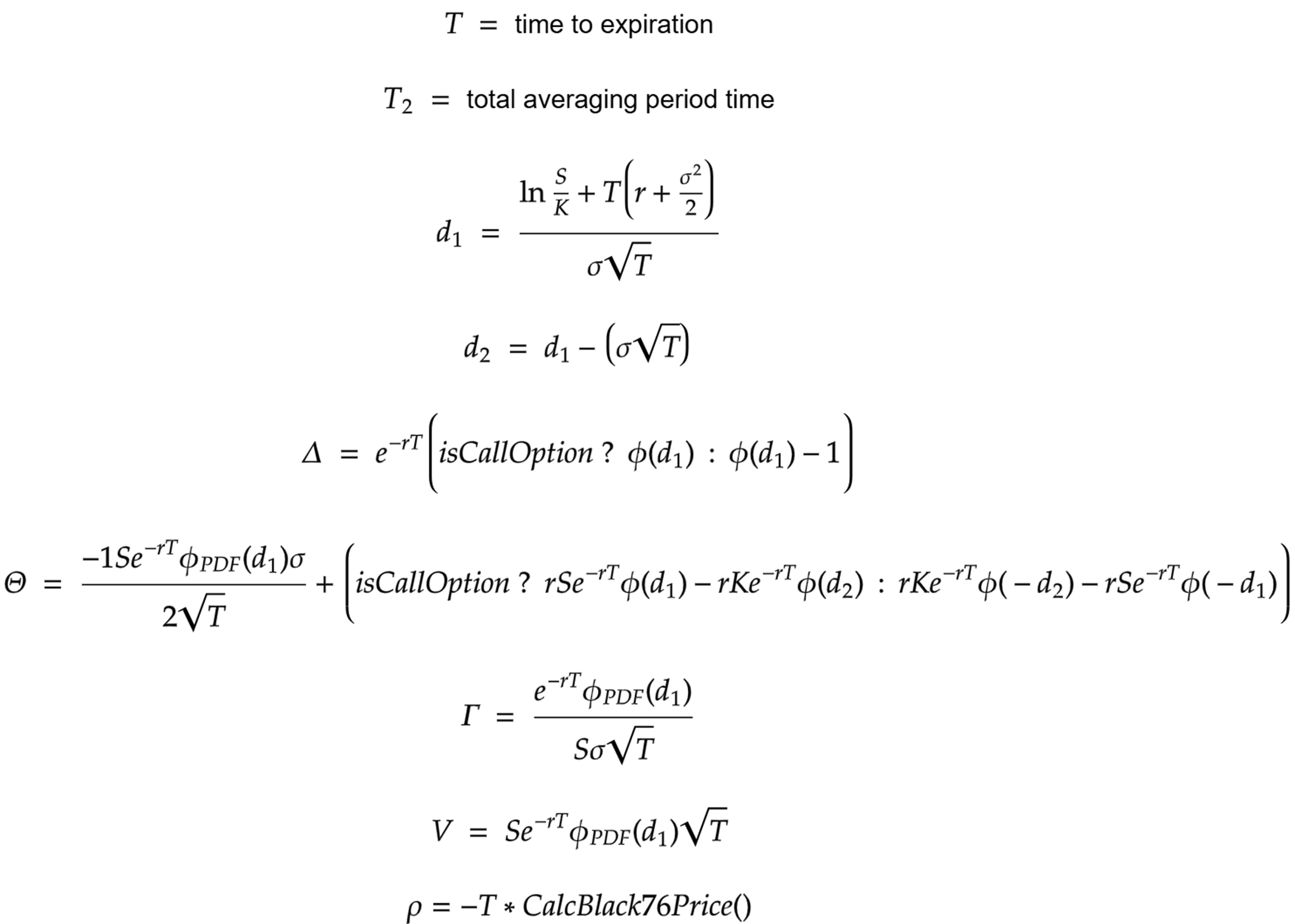
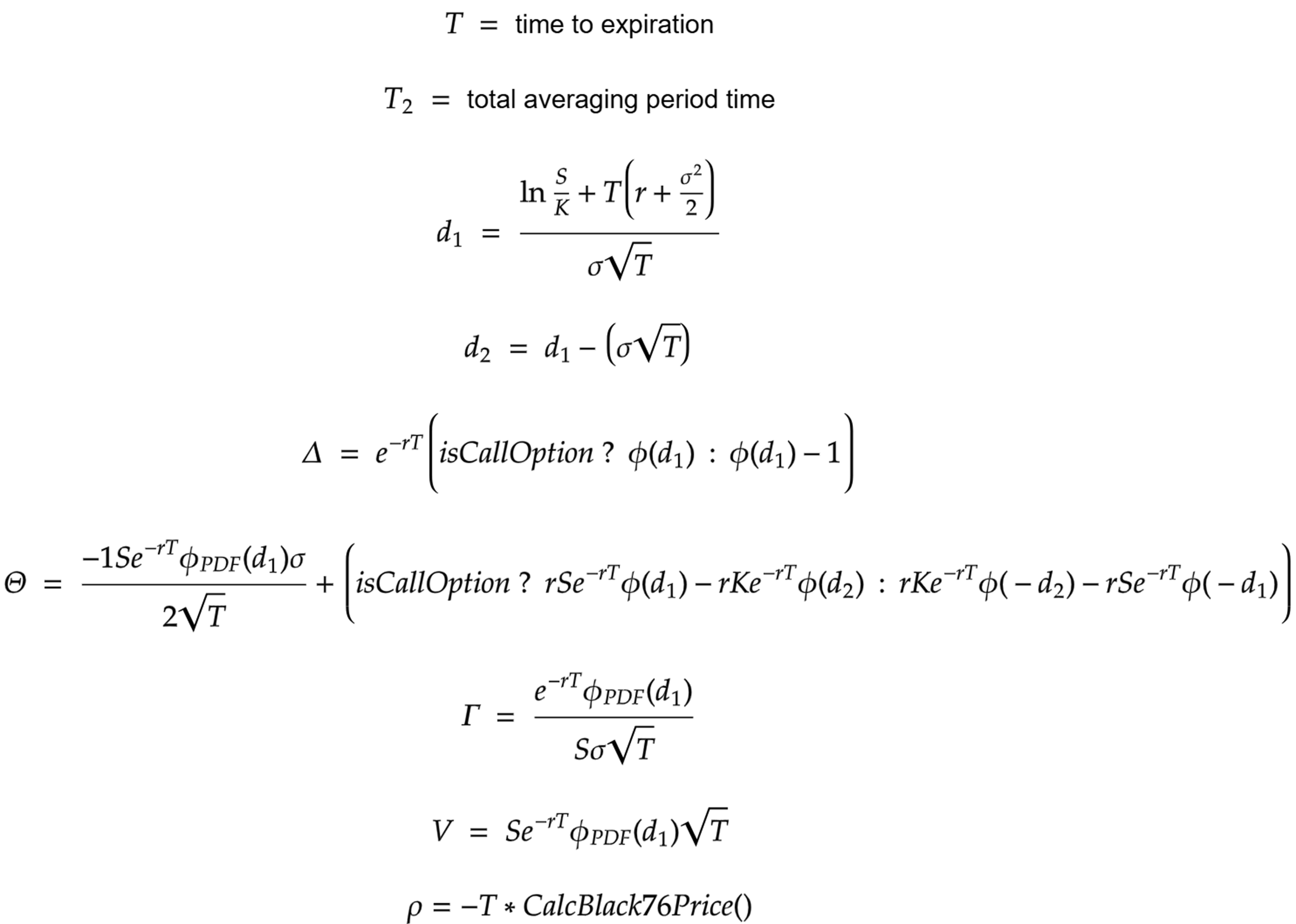
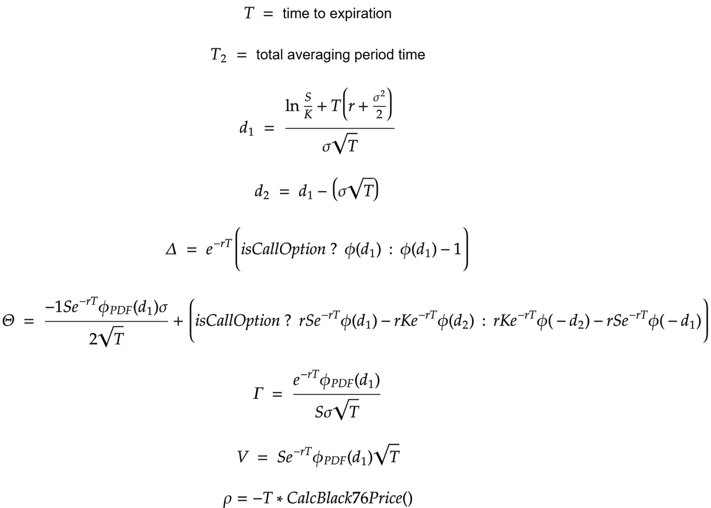
CalcTimeToExpiration

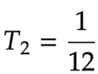
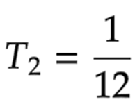
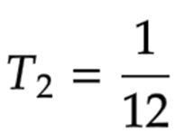
CalcTotalAveragingPeriodTime

CalcAdjustedVolatility

CalcBlack76Price

CalcTurnbullWakemanPrice

CalculateOptionGreeks
Black 1976

Turnbull Wakeman
